Services

Biochemicals

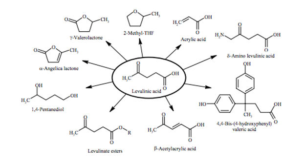
Levulinic acid is a platform chemical with various potential applications, including in pharmaceuticals, cosmetics, food, and polymers. Market research on levulinic acid suggests that the global market for levulinic acid is expected to grow significantly over the next few years, primarily driven by its increasing use in bio-based products and as a substitute for petroleum-based products. Factors such as evolving consumer lifestyles and increasing demand for eco-friendly products are also contributing to the growth of the levulinic acid market. However, high production costs and a lack of awareness among end-users regarding the benefits of levulinic acid may hamper market growth.

to produce Levulinic acid derivatives on a commercial scale, using biomass as a feedstock( raw material, cellulosic, bioplastics, co-products, biofuel, bioethanol, biofuels, biofuel). Levulinic acid derivatives are materials that have applications in various industries, including food, pharmaceutical, and chemical. We plan to produce these materials using sustainable and environmentally friendly technologies that will provide a high-quality product to our customers.

  1. Objectives:
  1. To produce high-quality Levulinic acid derivatives from biomass using innovative technologies.
  1. To establish a supply chain network that is efficient, sustainable, and cost-effective.

3. To reduce environmental impacts by using sustainable farming practices and by minimizing waste

Agriculture

Vision: Empowering Agriculture Through Technology Transfer from America to Africa In envisioning a future of agricultural prosperity and food security, we aspire to bridge the gap between America and Africa by transferring cutting-edge agricultural technologies. By harnessing the power of innovation, collaboration, and knowledge sharing, we seek to empower African farmers, enhance agricultural productivity, and create sustainable food systems. Our vision encompasses a world where the transfer of agriculture technology from America to Africa revolutionizes farming practices, improves crop yields, increases efficiency, and promotes economic growth. We believe that by joining forces, we can build a resilient and inclusive agricultural sector that addresses the pressing challenges of our time. Key Pillars of Our Vision:

1. Transfer of Sustainable Farming Practices: We envision a partnership that focuses on transferring sustainable farming practices from America to Africa. By sharing knowledge on precision agriculture, organic farming, water management, and soil conservation, we aim to empower African farmers to adopt environmentally friendly and resource-efficient techniques that enhance productivity while preserving natural resources. 2. Adoption of Digital Solutions: We envision a partnership that embraces digital solutions in agriculture. By transferring innovative technologies such as precision farming tools, sensor-based monitoring systems, and data analytics, we can enable African farmers to make informed decisions, optimize resource allocation, and mitigate risks. This digital transformation will lead to increased efficiency, reduced waste, and improved crop quality. 3. Capacity Building and Skills Development: We envision a partnership that prioritizes capacity building and skills development in the agricultural sector. Through training programs, workshops, and knowledge exchange initiatives, we aim to empower African farmers with the necessary skills and expertise to adapt to new technologies, improve farming practices, and enhance their livelihoods. 4. Market Access and Value Chain Integration: We envision a partnership that facilitates market access and value chain integration. By transferring expertise in agricultural marketing, post-harvest management, and agribusiness development, we can assist African farmers in connecting with domestic and international markets, adding value to their produce, and accessing fair trade opportunities. 5. Collaborative Research and Innovation: We envision a partnership that fosters collaborative research and innovation in agriculture. By creating platforms for joint research projects, technology incubation centers, and innovation hubs, we can encourage the co-creation of new agricultural technologies and solutions that address region-specific challenges and opportunities. Through the transfer of agriculture technology from America to Africa, we can unlock the immense potential of African agriculture, increase productivity, and improve the livelihoods of millions. Our vision is not just about sharing tools and techniques but also about building long-lasting relationships, promoting cultural exchange, and nurturing a sense of shared responsibility towards sustainable development. Let us embark on this transformative journey, hand in hand, as we empower African farmers, strengthen food systems, and contribute to a more resilient and food-secure future for all.

Mining

Vision: Fostering a Thriving Partnership in Mining Between America and Africa At the dawn of a new era, we envision a future where America and Africa collaborate hand in hand, harnessing the vast potential of their mining industries. United by a shared commitment to sustainable development, mutual growth, and cultural exchange, we strive to create a thriving partnership that benefits both continents. Our vision encompasses a world where the trading of mining resources between America and Africa fosters economic prosperity, empowers local communities, and drives technological innovation. We believe that by joining forces, we can create a more equitable and inclusive global mining ecosystem.

Key Pillars of Our Vision: 1. Partnership for Sustainable Development: We envision a partnership that prioritizes sustainable mining practices, environmental stewardship, and social responsibility. By exchanging knowledge, expertise, and best practices, we can jointly develop environmentally friendly technologies, promote responsible resource extraction, and work towards a greener future. 2. Economic Growth and Job Creation: We envision a partnership that stimulates economic growth and creates employment opportunities for both continents. Through fair trade and investment, we aim to unlock the full potential of our mining industries, supporting local businesses, and empowering communities. 3. Technological Innovation: We envision a partnership that embraces innovation and advances in mining technology. By combining the technological prowess of America with the rich mineral resources of Africa, we can drive breakthroughs in exploration methods, extraction techniques, and mineral processing. This collaboration will not only optimize productivity but also enhance safety standards. 4. Cultural Exchange and Knowledge Sharing: We envision a partnership that celebrates diversity, promotes cultural understanding, and facilitates knowledge sharing. By fostering strong relationships between American and African mining professionals, we can exchange ideas, insights, and experiences, promoting a cross-cultural dialogue that enriches both continents. 5. Responsible Investment and Governance: We envision a partnership that encourages responsible investment and transparent governance. By promoting fair trade, combating corruption, and ensuring the equitable distribution of mining wealth, we can establish a foundation of trust and integrity, enabling long-term sustainable growth. Together, America and Africa can forge a formidable alliance in the mining industry, setting new benchmarks for collaboration, innovation, and responsible resource management. Our vision is not only about trading minerals but also about building lasting connections, enhancing livelihoods, and leaving a positive impact on future generations. Let us embark on this transformative journey, hand in hand, as we shape a brighter future for mining, for our continents, and for the world.

GOLD and Diamonds

Vision: Facilitating Responsible and Transparent Trading of Gold and Diamonds Between Africa, the USA, and Other Continents In envisioning a future of ethical and sustainable trade in precious minerals, we strive to foster a partnership that facilitates the responsible trading of gold and diamonds between Africa, the USA, and other continents. United by a shared commitment to transparency, fair trade, and responsible sourcing, we aim to create a global mining ecosystem that benefits all stakeholders and contributes to the economic growth and development of African nations. Our vision encompasses a world where the trading of gold and diamonds between Africa and other continents is characterized by integrity, accountability, and mutual benefit.

We believe that by joining forces, we can establish a framework that ensures the responsible extraction, processing, and trading of these precious resources, while promoting the well-being of local communities and safeguarding the environment. Key Pillars of Our Vision: 1. Responsible Mining Practices: We envision a partnership that promotes responsible mining practices in Africa. By advocating for sustainable mining methods, environmental protection, and social responsibility, we can ensure that the extraction of gold and diamonds is conducted in a manner that minimizes ecological impact, respects human rights, and benefits local communities. 2. Ethical Supply Chains: We envision a partnership that establishes ethical supply chains for gold and diamonds. By implementing robust traceability systems, certification standards, and due diligence processes, we can ensure that these precious minerals are sourced from conflict-free zones, comply with international regulations, and are free from exploitation. 3. Transparent Trading Platforms: We envision a partnership that facilitates transparent trading platforms for gold and diamonds. By leveraging technology, digital marketplaces, and blockchain solutions, we can create secure and traceable platforms that enable fair pricing, reduce intermediaries, and enhance market access for African miners and traders. 4. Capacity Building and Knowledge Sharing: We envision a partnership that prioritizes capacity building and knowledge sharing. By providing training programs, technical assistance, and resources, we can enhance the skills and expertise of African miners, traders, and regulators, empowering them to actively participate in international markets and negotiate fair trade agreements. 5. Collaboration and Advocacy: We envision a partnership that fosters collaboration and advocacy. By bringing together governments, industry stakeholders, civil society organizations, and consumers, we can collectively advocate for responsible mining practices, fair trade policies, and transparent regulations. Through these collaborative efforts, we can create an enabling environment that promotes sustainable and ethical trading of gold and diamonds. Together, Africa, the USA, and other continents can forge a transformative partnership that sets new standards for responsible and transparent trading in gold and diamonds. Our vision is not just about economic transactions, but also about building trust, fostering cultural exchange, and creating a positive impact on the lives of miners, traders, and communities. Let us embark on this journey, hand in hand, as we work towards a future where the trading of gold and diamonds becomes a catalyst for sustainable development, economic prosperity, and social justice for all.

Real estate

Vision: Transforming Real Estate Investment in the USA and African Countries with TerraMiner Group Inc. In envisioning a future of transformative real estate investment, we aspire to build a strategic partnership between TerraMiner Group Inc. and African countries, as well as the USA. By leveraging the expertise, resources, and innovation of TerraMiner Group Inc., we seek to create a global real estate portfolio that generates sustainable returns, fosters economic growth, and enhances the quality of life for communities in both regions. Our vision encompasses a world where real estate investment becomes a catalyst for inclusive development, urban regeneration, and social impact. We believe that by combining the strengths of TerraMiner Group Inc. and the potential of African countries and the USA, we can unlock opportunities, create vibrant communities, and contribute to the sustainable growth of both regions.

Key Pillars of Our Vision: 1. Sustainable and Innovative Development: We envision a partnership that prioritizes sustainable and innovative real estate development. By incorporating green building practices, energy-efficient technologies, and smart city solutions, we can create environmentally friendly and resilient communities that support the well-being of residents and minimize the ecological footprint. 2. Affordable Housing and Social Impact: We envision a partnership that addresses the pressing need for affordable housing and social impact. By investing in affordable housing projects, community development initiatives, and social infrastructure, we can contribute to reducing housing disparities, improving access to basic services, and enhancing the overall quality of life for underserved communities. 3. Economic Empowerment and Job Creation: We envision a partnership that drives economic empowerment and job creation. By investing in mixed-use developments, commercial properties, and industrial parks, we can stimulate local economies, attract foreign direct investment, and create employment opportunities in sectors such as construction, hospitality, and retail. 4. Technology and Innovation Adoption: We envision a partnership that embraces technology and innovation in real estate investment. By leveraging digital platforms, proptech solutions, and data analytics, we can optimize property management, enhance tenant experiences, and drive operational efficiency, ultimately maximizing returns and improving the overall real estate investment landscape. 5. Cross-Cultural Collaboration and Knowledge Exchange: We envision a partnership that fosters cross-cultural collaboration and knowledge exchange. By promoting cultural understanding, sharing best practices, and facilitating educational programs, we can create an environment that nurtures creativity, diversity, and entrepreneurship in the real estate industry, benefiting both African and American professionals. Through the strategic investment in real estate by TerraMiner Group Inc. in the USA and African countries, we can unlock the potential of both regions, create sustainable wealth, and uplift communities. Our vision is not just about financial gains, but also about fostering long-term relationships, promoting cultural exchange, and leaving a positive legacy for future generations. Let us embark on this transformative journey, hand in hand, as we redefine real estate investment, drive economic growth, and shape the future of urban development in the USA and Africa.

Restaurants

Vision: Creating an Unprecedented African Restaurant Experience in the USA In envisioning a future of culinary exploration and cultural celebration, we aspire to create an African restaurant in the USA that offers a unique and unprecedented dining experience. By showcasing the rich and diverse flavors, traditions, and heritage of African cuisine, we seek to captivate the palates of our guests, promote cultural exchange, and redefine the culinary landscape in the USA. Our vision encompasses a world where African cuisine is celebrated, appreciated, and embraced as an integral part of the global culinary tapestry. We believe that by introducing a groundbreaking African restaurant concept, we can offer a transformative dining experience that not only delights the senses but also fosters understanding, appreciation, and connection across cultures. Key Pillars of Our Vision: 1. Authenticity and Innovation: We envision a restaurant that celebrates the authenticity of African cuisine while incorporating innovative culinary techniques and presentation styles.

By sourcing the finest ingredients, working with skilled chefs, and embracing modern culinary trends, we can create a menu that showcases the diverse flavors, textures, and aromas of African dishes in a contemporary and enticing manner. 2. Cultural Immersion and Education: We envision a restaurant that goes beyond food and provides a platform for cultural immersion and education. Through interactive dining experiences, cooking classes, and cultural events, we aim to engage our guests, educate them about the rich traditions and stories behind African cuisine, and foster a deeper appreciation for the diverse cultures of Africa. 3. Sustainability and Ethical Sourcing: We envision a restaurant that prioritizes sustainability and ethical sourcing. By partnering with local farmers, artisans, and suppliers, we can ensure that our ingredients are sourced responsibly, supporting local communities and promoting environmentally friendly practices. We strive to create a restaurant that not only nourishes the body but also respects the planet and the communities we serve. 4. Warm Hospitality and Welcoming Ambiance: We envision a restaurant that offers warm hospitality and a welcoming ambiance. Drawing inspiration from the vibrant colors, textures, and patterns of African culture, we aim to create a space that evokes a sense of warmth, comfort, and joy. Our goal is to create an environment where guests feel at home and can immerse themselves in the beauty and richness of African hospitality. 5. Collaboration and Cultural Exchange: We envision a restaurant that fosters collaboration and cultural exchange. By partnering with local artists, musicians, and performers, we can create a space that showcases the diversity of African arts and culture. Through live performances, art exhibitions, and cultural events, we aim to create a vibrant and dynamic atmosphere that celebrates the richness of African heritage. Through the creation of an unprecedented African restaurant in the USA, we can elevate African cuisine, challenge culinary norms, and create a space that celebrates the beauty and diversity of Africa. Our vision is not just about food, but also about fostering connections, promoting cultural exchange, and breaking down barriers through the universal language of food. Let us embark on this culinary journey, hand in hand, as we introduce the USA to a new and exciting world of African flavors, traditions, and experiences.